text.skipToContent text.skipToNavigation

Maximum quantity allowed is 999

Please select the quantity

Amination [Synthetic Reagents]

 The Gabriel reagent is widely used as a nucleophilic aminating agent since its reactivity is reliable and its handling is easy.1) A variety of aminating agents analogous to the Gabriel reagent have been reported.
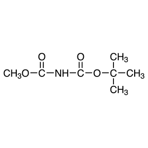
The potassium salt of imide 1 reacts with alkyl halide to give imide 2. 2 is treated with base or acid to give either N-Boc-amine 3 or N-methoxycarbonylamine 4, respectively. Moreover, 1 also serves as an acid nucleophile in the Mitsunobu reaction to allow for the conversion of hydroxy groups to amino groups. Therefore, 1 is a useful reagent to give monoprotected amines.2)
 Fukuyama and co-workers have demonstrated various reactions using the N-substituted sulfonamide 5.3) Smooth reactions of 5 occur with alkyl halides under basic conditions and alcohols under Mitsunobu conditions to provide o-nitrobenzenesulfonyl (o-Ns) amines 6. The various o-Ns amines (Alloc, Boc, Cbz) 6 obtained from these reactions can be selectively deprotected, under the appropriate conditions, to afford the monoprotected amines 7 and 8. Furthermore, 7 can be converted to the primary amine in high yields via a second deprotection. 8 can be converted to the secondary amine in high yields by repeating the alkylation and deprotection process.4)
  On the other hand, acetoxime O-(2,4,6-trimethylphenyl)sulfonate 9 has been reported as a useful electrophilic aminating agent. 9 reacts with Grignard reagents in the presence of a catalytic amount of magnesium chloride to afford primary amines in good yields.5)
pdf
16 Results Found
  • 1(current)
  • 2
View:  List
Product Number A1137
CAS RN 584-13-4
Purity / Analysis Method: >98.0%(T)(HPLC)

Product Number A1441
CAS RN 81549-07-7
Purity / Analysis Method: >98.0%(HPLC)

Product Number B1648
CAS RN 18303-04-3
Purity / Analysis Method: >98.0%(T)(HPLC)

Product Number B1734
CAS RN 85232-02-6
Purity / Analysis Method: >98.0%(N)

Product Number B2303
CAS RN 198572-71-3
Purity / Analysis Method: >98.0%(T)(HPLC)

Product Number B5402
CAS RN 148017-28-1
Purity / Analysis Method: >98.0%(T)(N)

Product Number C1757
CAS RN 245365-64-4
Purity / Analysis Method: >98.0%(T)(HPLC)

Product Number I0510
CAS RN 66389-76-2
Purity / Analysis Method: >98.0%(GC)

Product Number P0403
CAS RN 1074-82-4
Purity / Analysis Method: >98.0%(T)

Product Number P1235
CAS RN 119812-51-0
Purity / Analysis Method: >98.0%(T)

Product Number P2856
CAS RN 1293990-73-4
Purity / Analysis Method: >98.0%(T)

Product Number D2479
CAS RN 18197-26-7
Purity / Analysis Method: >97.0%(T)(N)

Product Number:   A1137 | Purity / Analysis Method:   >98.0%(T)(HPLC)

Product Number:   A1441 | Purity / Analysis Method:   >98.0%(HPLC)

Product Number:   B1648 | Purity / Analysis Method:   >98.0%(T)(HPLC)

Product Number:   B1734 | Purity / Analysis Method:   >98.0%(N)

Product Number:   B2303 | Purity / Analysis Method:   >98.0%(T)(HPLC)

Product Number:   B5402 | Purity / Analysis Method:   >98.0%(T)(N)

Product Number:   C1757 | Purity / Analysis Method:   >98.0%(T)(HPLC)

Product Number:   I0510 | Purity / Analysis Method:   >98.0%(GC)

Product Number:   P0403 | Purity / Analysis Method:   >98.0%(T)

Product Number:   P1235 | Purity / Analysis Method:   >98.0%(T)

Product Number:   P2856 | Purity / Analysis Method:   >98.0%(T)

Product Number:   D2479 | Purity / Analysis Method:   >97.0%(T)(N)

  • 1(current)
  • 2
Session Status
Your session will timeout in 10 minutes. You will be redirected to the HOME page after session timeout. Please click the button to continue session from the same page. minute. You will be redirected to the HOME page after session timeout. Please click the button to continue session from the same page.

Your session has timed out. You will be redirected to the HOME page.